4月10日下午,商学院在长江路校区2号教学楼阶303教室举办“红色记忆·以笔传情誊家书”活动。商学院100余名学生参加了此次活动。

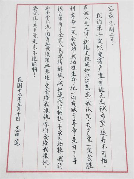
笔墨描绘真情,家书传递记忆。本次活动以红色家书为主线,通过誊写的方式重温革命历史,缅怀革命先烈,学生共誊写红色家书100余篇。一封红色家书,蕴藏饱满的爱国情怀;一封家书,彰显不屈的民族气节。在誊写现场,同学们怀着崇敬之情,认真的誊写吉鸿昌就义前给妻子胡红霞的遗书、方志敏临死以前的话、赵一曼就义前给儿子的遗书等。一段段红色家书背后的故事也跃然纸上,商学院学生徐宇璐说:“红色家书是我们团员青年的精神家园,一个个感人至深的故事,让我们深深懂得,今天美好幸福的生活是无数革命先烈用鲜血和生命换来的。我们要一心向党、不忘初心、继续前进!”

此次活动是商学院“三百工程”的重要组成部分,也是加强青年学生革命传统教育和理想信念教育的重要举措。“心中有信仰,脚下有力量。”通过此次活动,一封封红色家书跨越时空,带领青年学生缅怀革命先烈,传承革命精神,弘扬民族精神,激励着他们不忘初心,砥砺奋进。(撰稿:王明月林丰艳 审核:董兰国)